Официальное опубликование правовых актов
ОФИЦИАЛЬНОЕ ОПУБЛИКОВАНИЕ
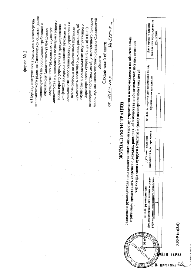
Приказ Министерства экономического развития Сахалинской области от 10.04.2019 № 3.05-7-п
"О Порядке поступления обращений, заявлений, уведомлений в комиссию министерства экономического развития Сахалинской области по соблюдению требований к служебному (должностному) поведению государственных гражданских служащих министерства экономического развития Сахалинской области и руководителя подведомственного министерству экономического развития Сахалинской области учреждения и урегулированию конфликта интересов"
Номер опубликования: 6501201904150001
Дата опубликования: 15.04.2019
Страница №20 из 30:
Увеличить