Официальное опубликование правовых актов
ОФИЦИАЛЬНОЕ ОПУБЛИКОВАНИЕ
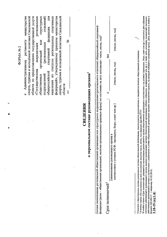
Приказ Министерства спорта, туризма и молодежной политики Сахалинской области от 21.03.2018 № 3.18-7-П
"Об утверждении Административного регламента министерства спорта, туризма и молодежной политики Сахалинской области по предоставлению государственной услуги "Государственная аккредитация региональных общественных организаций или структурных подразделений (региональных отделений) общероссийской спортивной федерации для наделения их статусом региональных спортивных федераций"
Номер опубликования: 6501201803220002
Дата опубликования: 22.03.2018
Страница №67 из 78:
Увеличить