Официальное опубликование правовых актов
ОФИЦИАЛЬНОЕ ОПУБЛИКОВАНИЕ
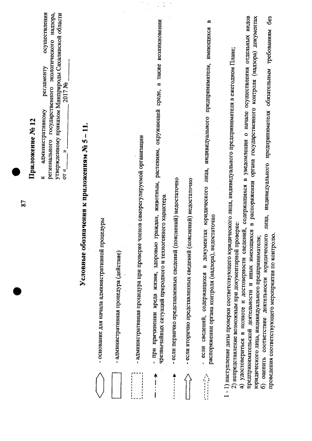
Приказ Министерства природных ресурсов и охраны окружающей среды Сахалинской области от 29.12.2017 № 78
"Об утверждении административного регламента осуществления регионального государственного экологического надзора"
Номер опубликования: 6501201801040003
Дата опубликования: 04.01.2018
Страница №92 из 103:
Увеличить