Официальное опубликование правовых актов
ОФИЦИАЛЬНОЕ ОПУБЛИКОВАНИЕ
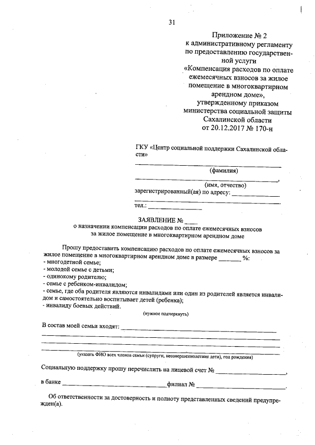
Приказ Министерства социальной защиты Сахалинской области от 20.12.2017 № 170-н
"Об утверждении административного регламента по предоставлению государственной услуги "Компенсация расходов по оплате ежемесячных взносов за жилое помещение в многоквартирном арендном доме"
Номер опубликования: 6501201712260019
Дата опубликования: 26.12.2017
Страница №32 из 35:
Увеличить