Официальное опубликование правовых актов
ОФИЦИАЛЬНОЕ ОПУБЛИКОВАНИЕ
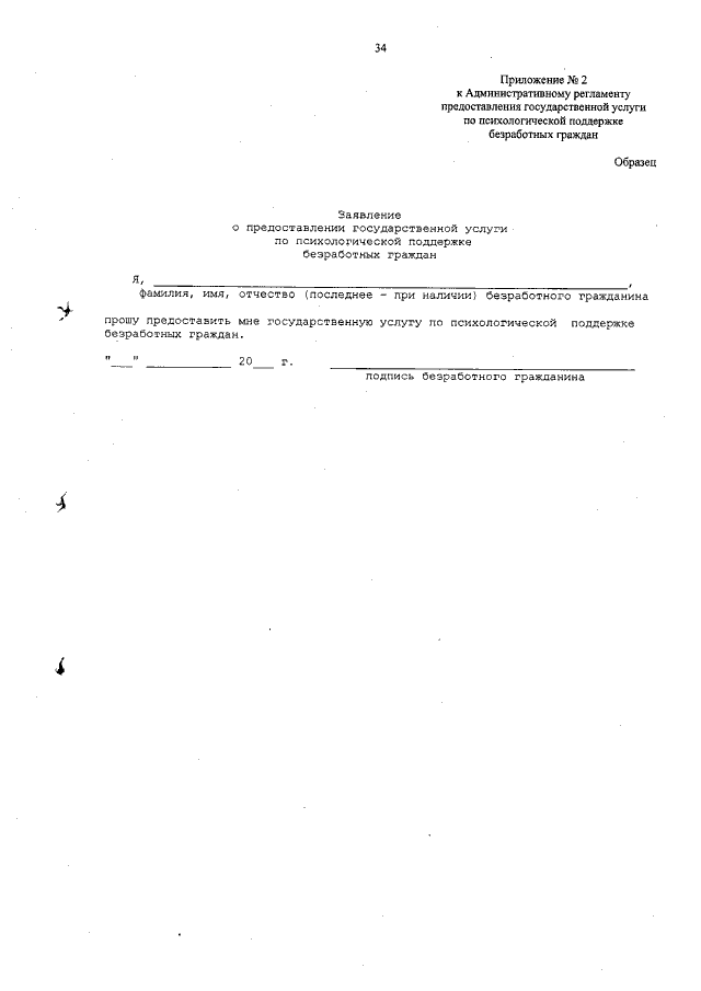
Приказ Агентства по труду и занятости населения Сахалинской области от 09.06.2016 № 25
"Об утверждении Административного регламента предоставления государственной услуги по психологической поддержке безработных граждан"
Номер опубликования: 6501201606140002
Дата опубликования: 14.06.2016
Страница №36 из 40:
Увеличить