Официальное опубликование правовых актов
ОФИЦИАЛЬНОЕ ОПУБЛИКОВАНИЕ
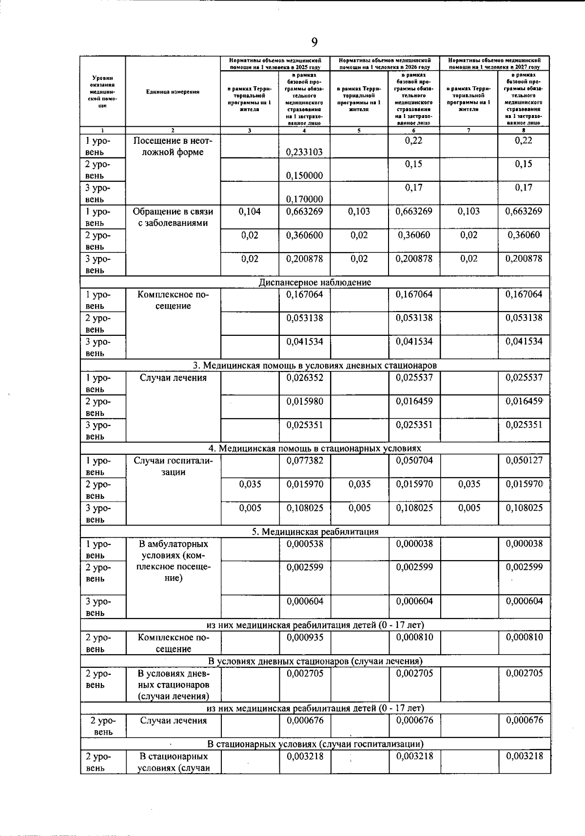
Постановление Правительства Сахалинской области от 03.12.2025 № 498
"О внесении изменений в постановление Правительства Сахалинской области от 28.12.2024 № 497 "Об утверждении Территориальной программы Сахалинской области государственных гарантий бесплатного оказания гражданам медицинской помощи на 2025 год и на плановый период 2026 и 2027 годов"
Номер опубликования: 6500202512080001
Дата опубликования: 08.12.2025
Страница №11 из 103:
Увеличить