Официальное опубликование правовых актов
ОФИЦИАЛЬНОЕ ОПУБЛИКОВАНИЕ
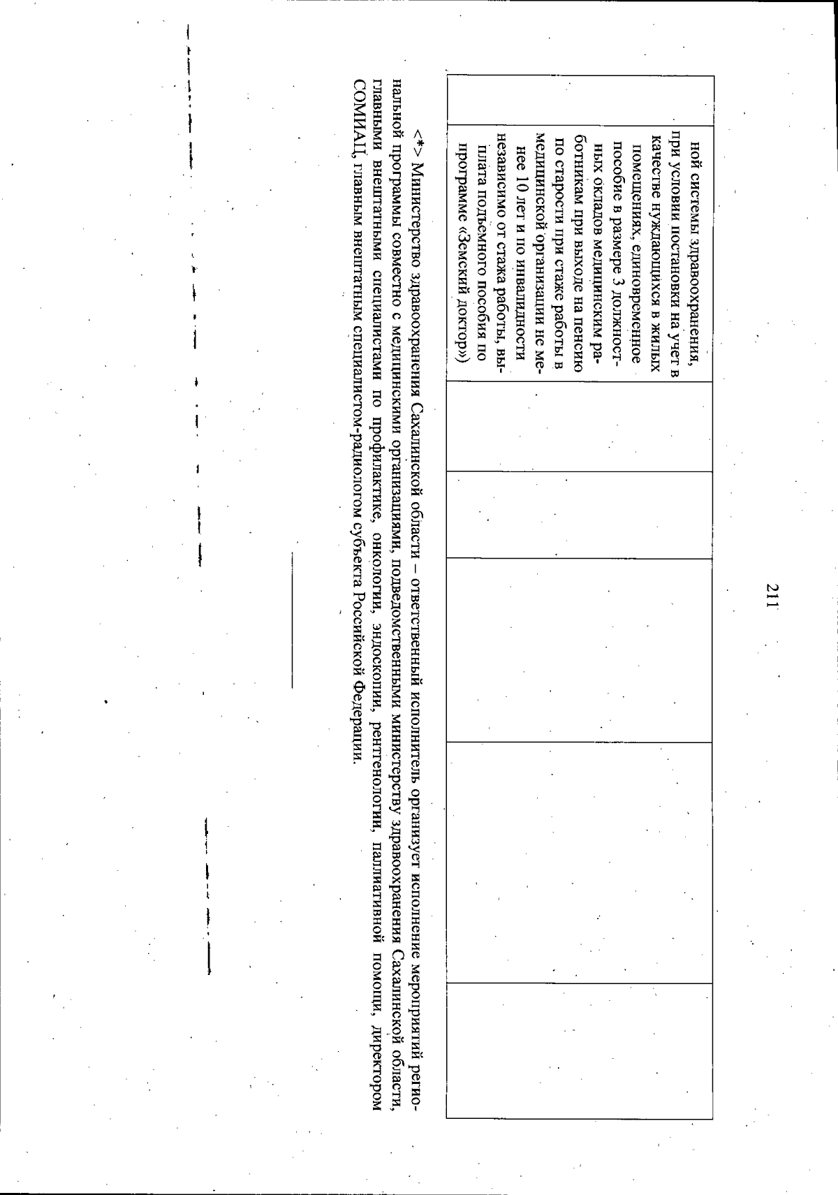
Распоряжение Правительства Сахалинской области от 27.06.2025 № 456-р
"Об утверждении региональной программы Сахалинской области "Борьба с онкологическими заболеваниями"
Номер опубликования: 6500202507040007
Дата опубликования: 04.07.2025
Страница №213 из 213:
Увеличить