Официальное опубликование правовых актов
ОФИЦИАЛЬНОЕ ОПУБЛИКОВАНИЕ
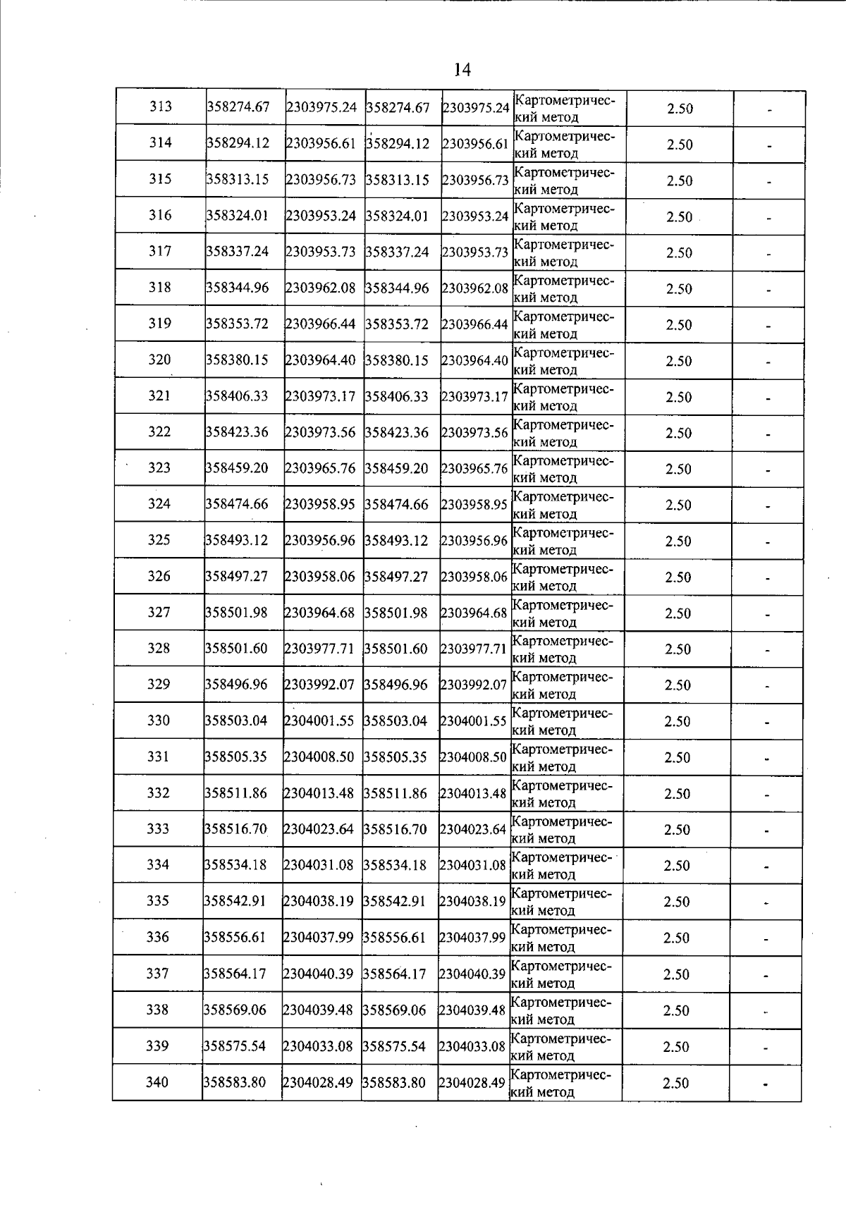
Указ Губернатора Сахалинской области от 25.10.2024 № 47
"О внесении изменений в указ Губернатора Сахалинской области от 29.04.2021 № 27 "Об установлении охранных зон и утверждении Положений об охранных зонах памятников природы регионального значения Сахалинской области, расположенных на территории муниципального образования "Южно-Курильский городской округ"
Номер опубликования: 6500202411010008
Дата опубликования: 01.11.2024
Страница №16 из 23:
Увеличить