Официальное опубликование правовых актов
ОФИЦИАЛЬНОЕ ОПУБЛИКОВАНИЕ
Постановление Правительства Сахалинской области от 15.10.2024 № 362
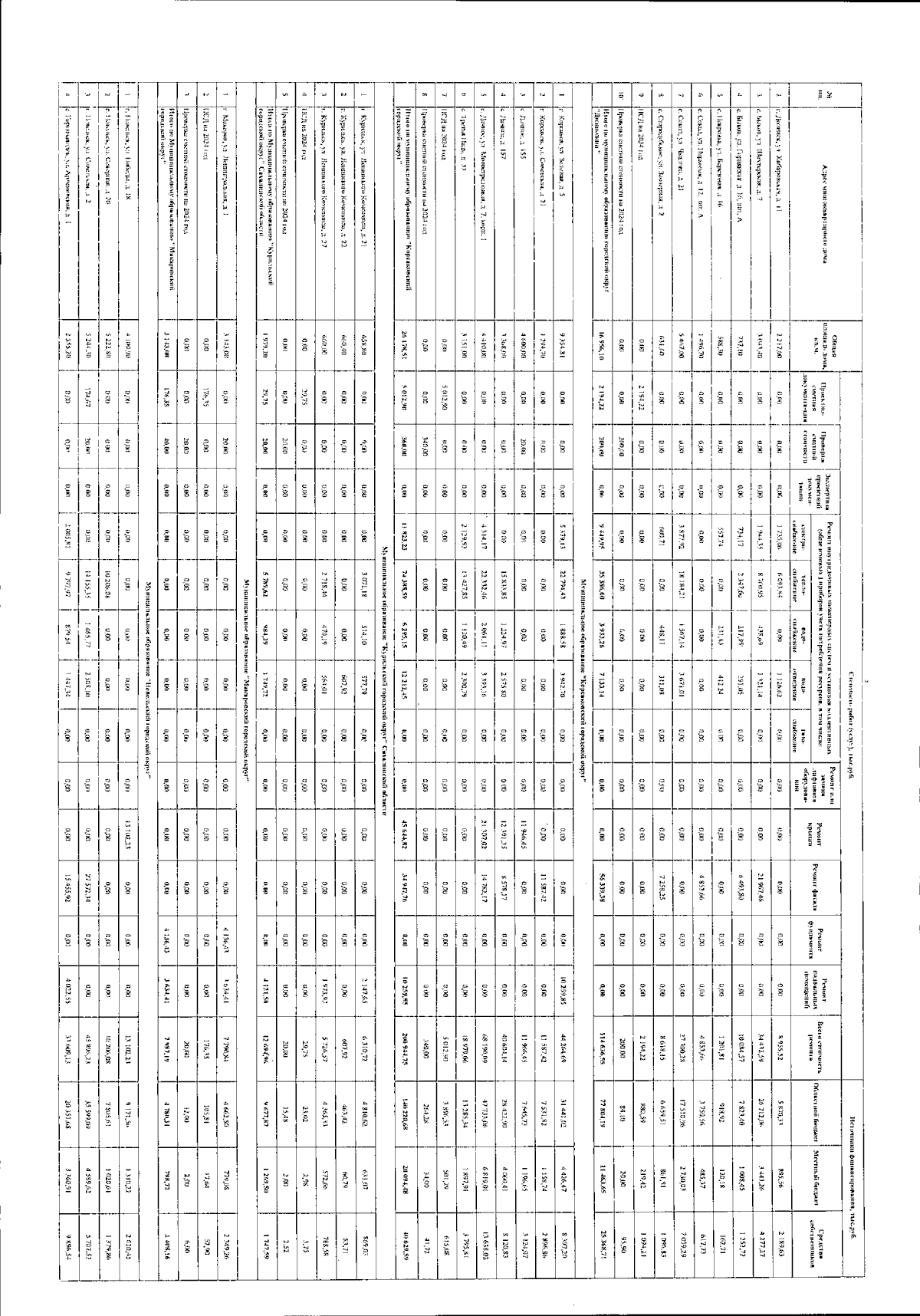
"О внесении изменений в Краткосрочный план реализации региональной программы "Капитальный ремонт общего имущества в многоквартирных домах, расположенных на территории Сахалинской области, на 2014 - 2043 годы", утвержденной постановлением Правительства Сахалинской области от 28.04.2014 № 199, на 2023 - 2025 годы, утвержденный постановлением Правительства Сахалинской области от 30.05.2022 № 203"
Номер опубликования: 6500202410220002
Дата опубликования: 22.10.2024
Страница №4 из 32:
Увеличить