Официальное опубликование правовых актов
ОФИЦИАЛЬНОЕ ОПУБЛИКОВАНИЕ
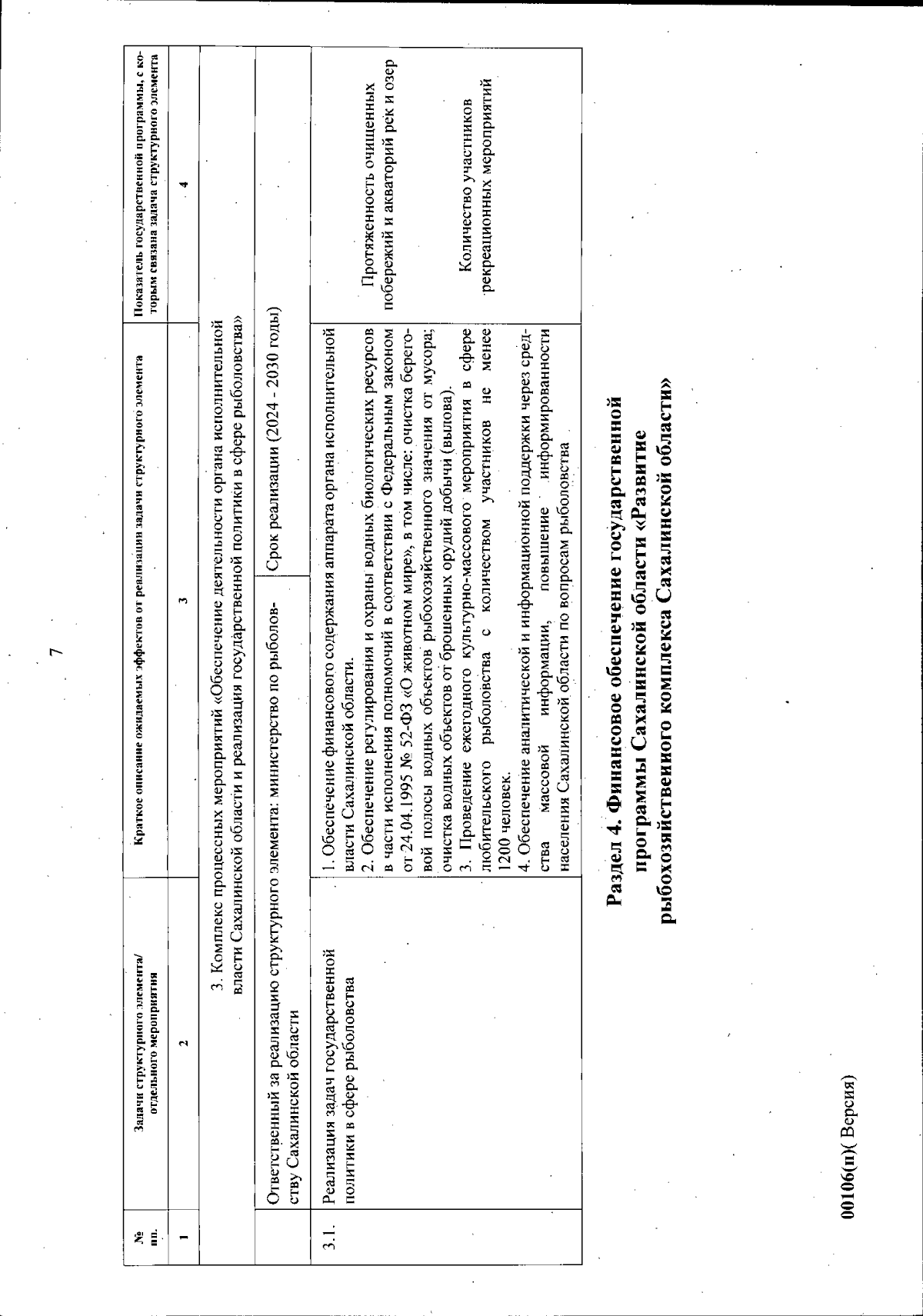
Постановление Правительства Сахалинской области от 13.05.2024 № 138
"О внесении изменений в государственную программу Сахалинской области "Развитие рыбохозяйственного комплекса Сахалинской области", утвержденную постановлением Правительства Сахалинской области от 29.06.2023 № 331"
Номер опубликования: 6500202405170003
Дата опубликования: 17.05.2024
Страница №9 из 21:
Увеличить