Официальное опубликование правовых актов
ОФИЦИАЛЬНОЕ ОПУБЛИКОВАНИЕ
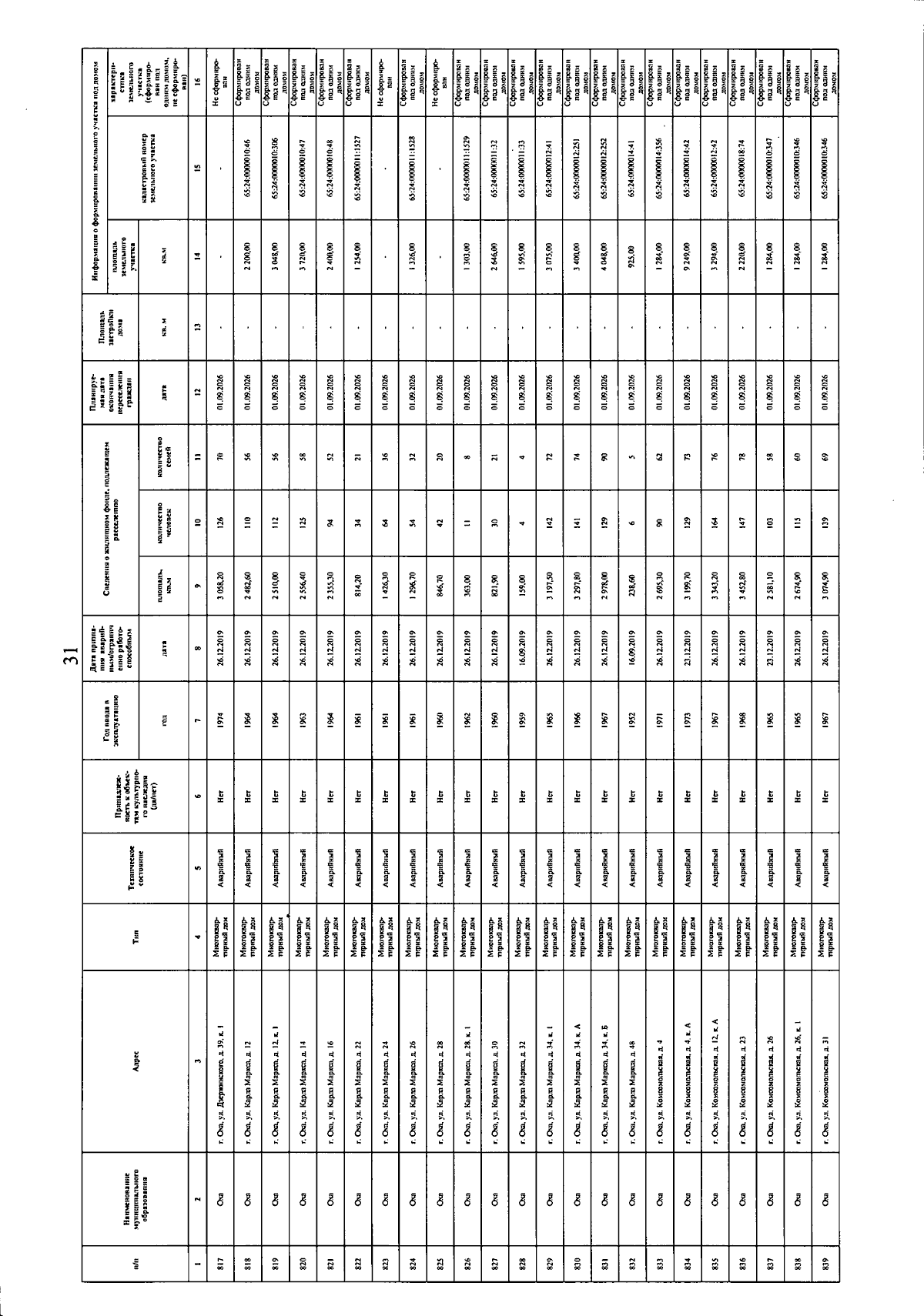
Постановление Правительства Сахалинской области от 14.03.2024 № 59
"О внесении изменений в постановление Правительства Сахалинской области от 31.03.2021 № 113 "Об утверждении региональной адресной программы "Переселение граждан из аварийного жилищного фонда на территории Сахалинской области в 2021 - 2026 годах"
Номер опубликования: 6500202403190001
Дата опубликования: 19.03.2024
Страница №35 из 159:
Увеличить