Официальное опубликование правовых актов
ОФИЦИАЛЬНОЕ ОПУБЛИКОВАНИЕ
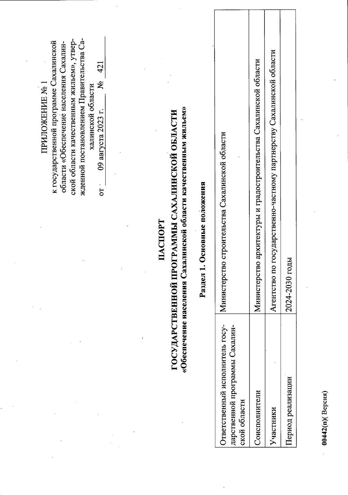
Постановление Правительства Сахалинской области от 09.08.2023 № 421
"Об утверждении государственной программы Сахалинской области "Обеспечение населения Сахалинской области качественным жильем" и о признании утратившими силу некоторых нормативных правовых актов"
Номер опубликования: 6500202308110002
Дата опубликования: 11.08.2023
Страница №22 из 107:
Увеличить