Официальное опубликование правовых актов
ОФИЦИАЛЬНОЕ ОПУБЛИКОВАНИЕ
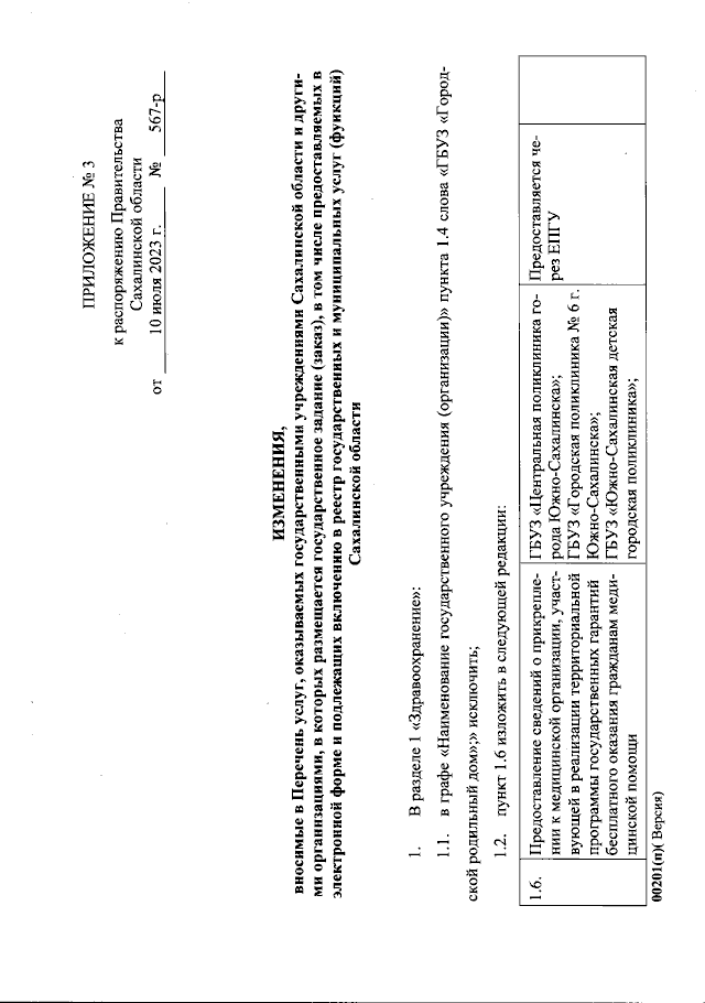
Распоряжение Правительства Сахалинской области от 10.07.2023 № 567-р
"О внесении изменений в распоряжение Правительства Сахалинской области от 07.12.2020 № 756-р "Об утверждении перечней государственных и муниципальных услуг, оказываемых органами исполнительной власти Сахалинской области, органами местного самоуправления муниципальных образований Сахалинской области, услуг, оказываемых государственными учреждениями Сахалинской области и другими организациями, в которых размещается государственное задание (заказ)"
Номер опубликования: 6500202307120005
Дата опубликования: 12.07.2023
Страница №21 из 24:
Увеличить