Официальное опубликование правовых актов
ОФИЦИАЛЬНОЕ ОПУБЛИКОВАНИЕ
Постановление Правительства Сахалинской области от 07.06.2023 № 266
"О реестре незавершенных объектов капитального строительства Сахалинской области"
Номер опубликования: 6500202306140003
Дата опубликования: 14.06.2023
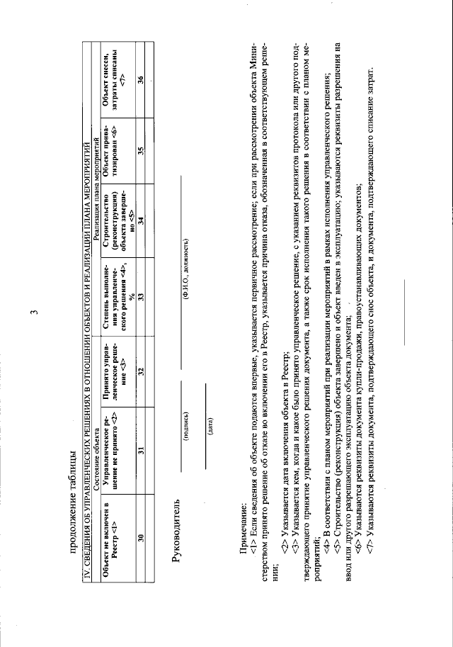
Страница №12 из 24:
Увеличить