Официальное опубликование правовых актов
ОФИЦИАЛЬНОЕ ОПУБЛИКОВАНИЕ
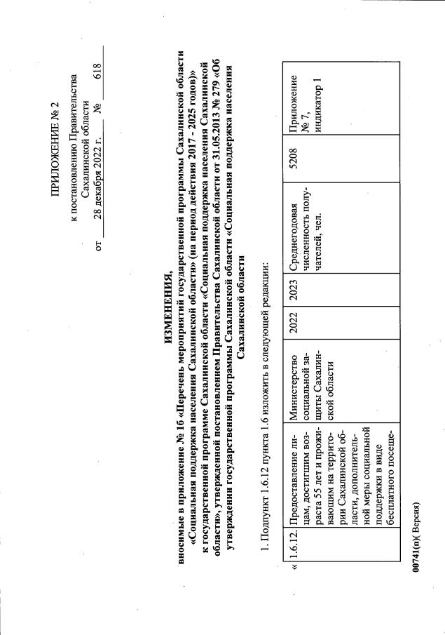
Постановление Правительства Сахалинской области от 28.12.2022 № 618
"О внесении изменений в отдельные нормативные правовые акты Правительства Сахалинской области"
Номер опубликования: 6500202212290014
Дата опубликования: 29.12.2022
Страница №16 из 17:
Увеличить