Официальное опубликование правовых актов
ОФИЦИАЛЬНОЕ ОПУБЛИКОВАНИЕ
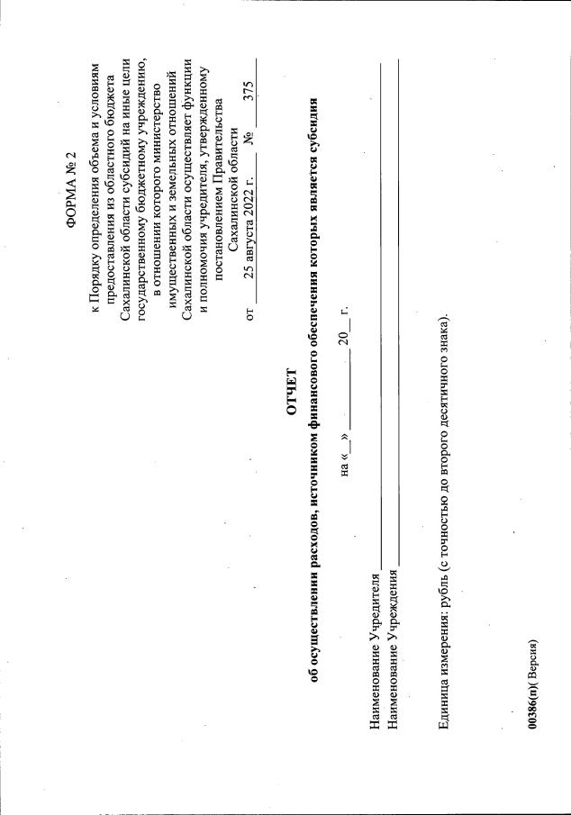
Постановление Правительства Сахалинской области от 25.08.2022 № 375
"Об утверждении Порядка определения объема и условий предоставления из областного бюджета Сахалинской области субсидий на иные цели государственному бюджетному учреждению, в отношении которого министерство имущественных и земельных отношений Сахалинской области осуществляет функции и полномочия учредителя"
Номер опубликования: 6500202208290001
Дата опубликования: 29.08.2022
Страница №14 из 18:
Увеличить