Официальное опубликование правовых актов
ОФИЦИАЛЬНОЕ ОПУБЛИКОВАНИЕ
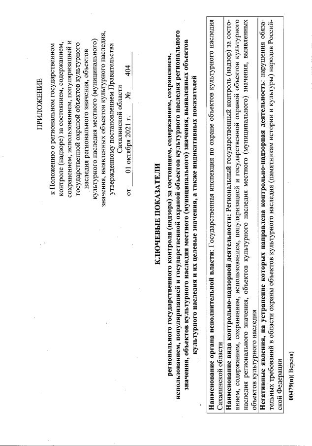
Постановление Правительства Сахалинской области от 01.10.2021 № 404
"Об утверждении Положения о региональном государственном контроле (надзоре) за состоянием, содержанием, сохранением, использованием, популяризацией и государственной охраной объектов культурного наследия регионального значения, объектов культурного наследия местного (муниципального) значения, выявленных объектов культурного наследия"
Номер опубликования: 6500202110060005
Дата опубликования: 06.10.2021
Страница №42 из 45:
Увеличить