Официальное опубликование правовых актов
ОФИЦИАЛЬНОЕ ОПУБЛИКОВАНИЕ
Указ Губернатора Сахалинской области от 19.04.2021 № 22
"Об установлении охранных зон и утверждении положений об охранных зонах памятников природы регионального значения Сахалинской области, расположенных на территории муниципального образования "Городской округ Ногликский" "
Номер опубликования: 6500202104220012
Дата опубликования: 22.04.2021
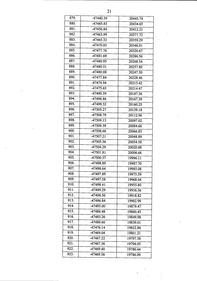
Страница №23 из 36:
Увеличить