Официальное опубликование правовых актов
ОФИЦИАЛЬНОЕ ОПУБЛИКОВАНИЕ
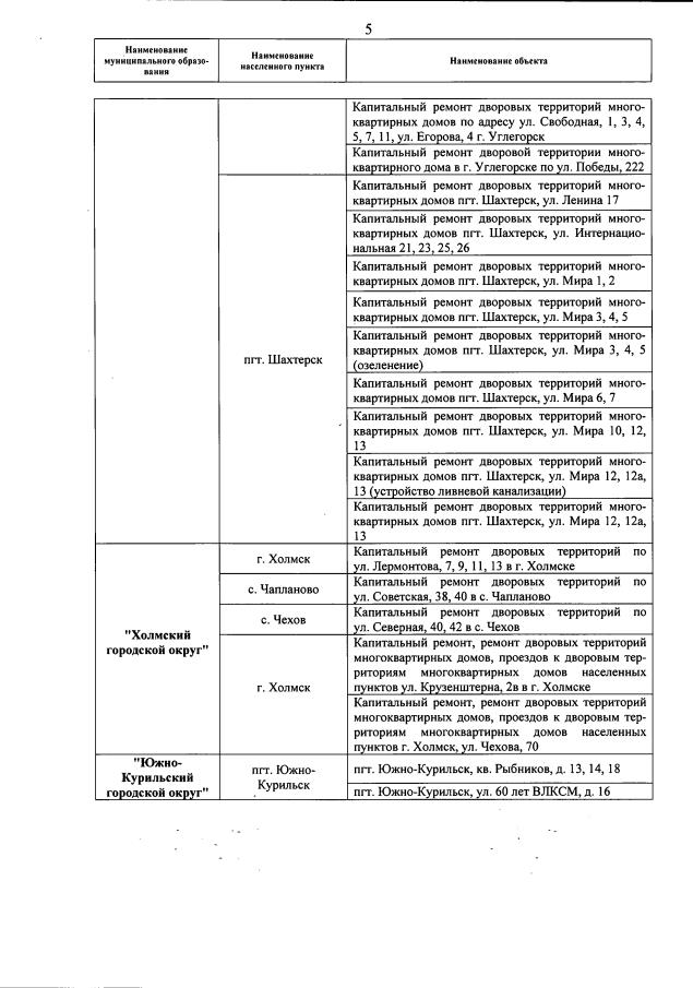
Постановление Правительства Сахалинской области от 28.12.2020 № 644
"О внесении изменений в государственную программу Сахалинской области "Формирование современной городской среды", утвержденную постановлением Правительства Сахалинской области от 31.10.2017 № 501"
Номер опубликования: 6500202012290003
Дата опубликования: 29.12.2020
Страница №24 из 25:
Увеличить