Официальное опубликование правовых актов
ОФИЦИАЛЬНОЕ ОПУБЛИКОВАНИЕ
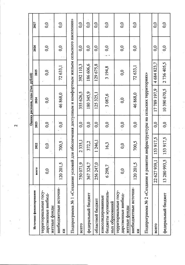
Постановление Правительства Сахалинской области от 25.12.2020 № 616
"Об утверждении государственной программы Сахалинской области "Комплексное развитие сельских территорий Сахалинской области"
Номер опубликования: 6500202012280001
Дата опубликования: 28.12.2020
Страница №98 из 181:
Увеличить