Официальное опубликование правовых актов
ОФИЦИАЛЬНОЕ ОПУБЛИКОВАНИЕ
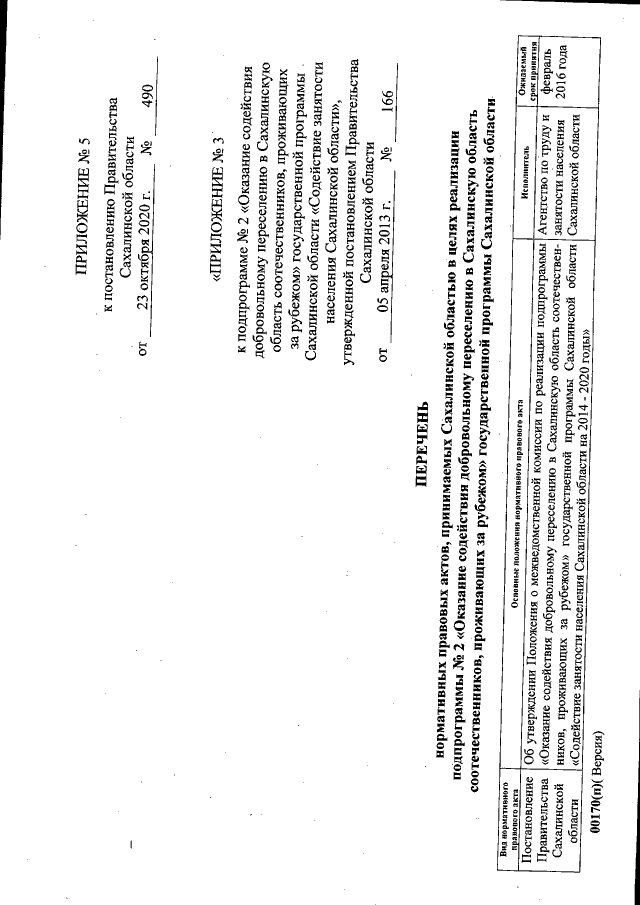
Постановление Правительства Сахалинской области от 23.10.2020 № 490
"О внесении изменений в государственную программу Сахалинской области "Содействие занятости населения Сахалинской области"
Номер опубликования: 6500202010260004
Дата опубликования: 26.10.2020
Страница №64 из 103:
Увеличить