Официальное опубликование правовых актов
ОФИЦИАЛЬНОЕ ОПУБЛИКОВАНИЕ
Постановление Правительства Сахалинской области от 13.10.2020 № 476
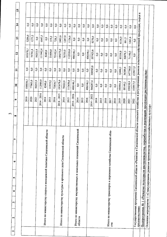
"О внесении изменений в постановление Правительства Сахалинской области от 06.08.2013 № 427 "Об утверждении государственной программы Сахалинской области "Развитие в Сахалинской области сельского хозяйства и регулирование рынков сельскохозяйственной продукции, сырья и продовольствия"
Номер опубликования: 6500202010160001
Дата опубликования: 16.10.2020
Страница №14 из 52:
Увеличить