Официальное опубликование правовых актов
ОФИЦИАЛЬНОЕ ОПУБЛИКОВАНИЕ
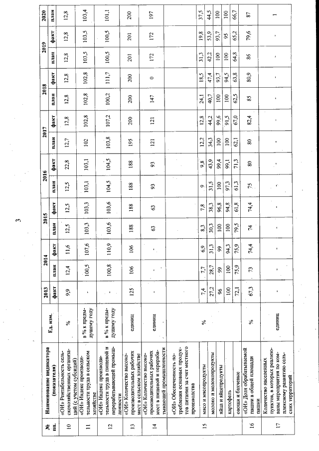
Постановление Правительства Сахалинской области от 01.10.2020 № 463
"О внесении изменений в постановление Правительства Сахалинской области от 06.08.2013 № 427 "Об утверждении государственной программы Сахалинской области "Развитие в Сахалинской области сельского хозяйства и регулирование рынков сельскохозяйственной продукции, сырья и продовольствия"
Номер опубликования: 6500202010070004
Дата опубликования: 07.10.2020
Страница №66 из 146:
Увеличить