Официальное опубликование правовых актов
ОФИЦИАЛЬНОЕ ОПУБЛИКОВАНИЕ
Постановление Правительства Сахалинской области от 25.05.2020 № 237
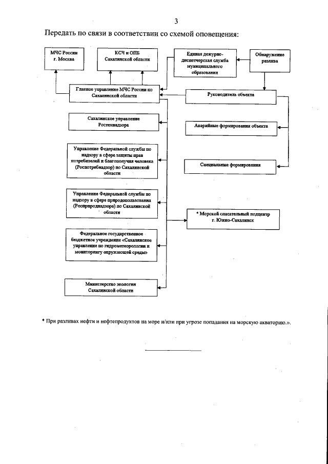
"О внесении изменений в Требования к разработке планов по предупреждению и ликвидации разливов нефти и нефтепродуктов на территории Сахалинской области, утвержденные постановлением Правительства Сахалинской области от 19.01.2016 № 5"
Номер опубликования: 6500202005280003
Дата опубликования: 28.05.2020
Страница №5 из 5:
Увеличить