Официальное опубликование правовых актов
ОФИЦИАЛЬНОЕ ОПУБЛИКОВАНИЕ
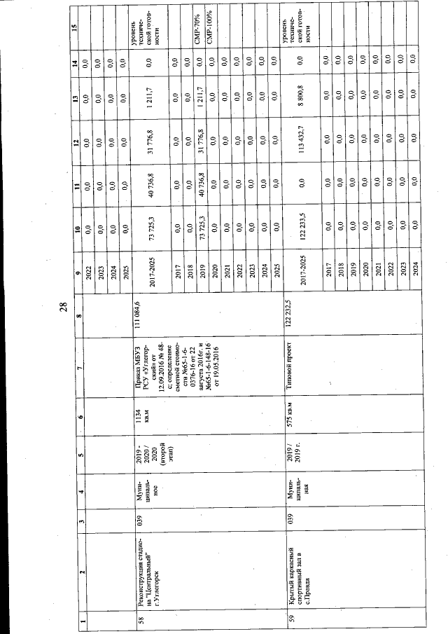
Постановление Правительства Сахалинской области от 25.05.2020 № 238
"О внесении изменений в государственную программу Сахалинской области "Развитие физической культуры, спорта и повышение эффективности молодежной политики в Сахалинской области"
Номер опубликования: 6500202005280001
Дата опубликования: 28.05.2020
Страница №50 из 123:
Увеличить