Официальное опубликование правовых актов
ОФИЦИАЛЬНОЕ ОПУБЛИКОВАНИЕ
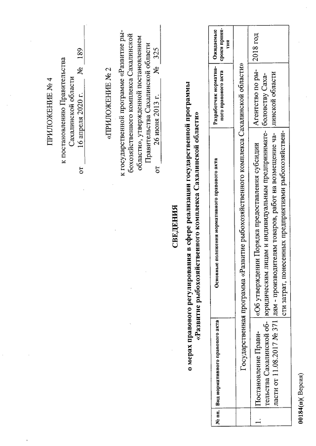
Постановление Правительства Сахалинской области от 16.04.2020 № 189
"О внесении изменений в государственную программу "Развитие рыбохозяйственного комплекса Сахалинской области", утвержденную постановлением Правительства Сахалинской от 26.06.2013 № 325"
Номер опубликования: 6500202004220001
Дата опубликования: 22.04.2020
Страница №25 из 42:
Увеличить