Официальное опубликование правовых актов
ОФИЦИАЛЬНОЕ ОПУБЛИКОВАНИЕ
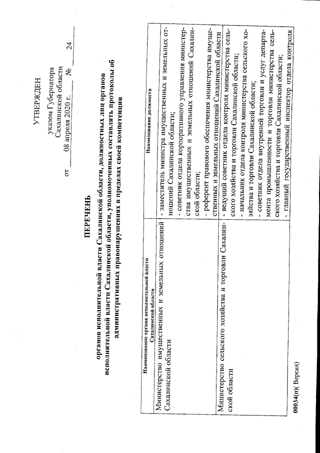
Указ Губернатора Сахалинской области от 08.04.2020 № 24
"Об утверждении Перечня органов исполнительной власти Сахалинской области, должностных лиц органов исполнительной власти Сахалинской области, уполномоченных составлять протоколы об административных правонарушениях в пределах своей компетенции"
Номер опубликования: 6500202004100006
Дата опубликования: 10.04.2020
Страница №2 из 9:
Увеличить