Официальное опубликование правовых актов
ОФИЦИАЛЬНОЕ ОПУБЛИКОВАНИЕ
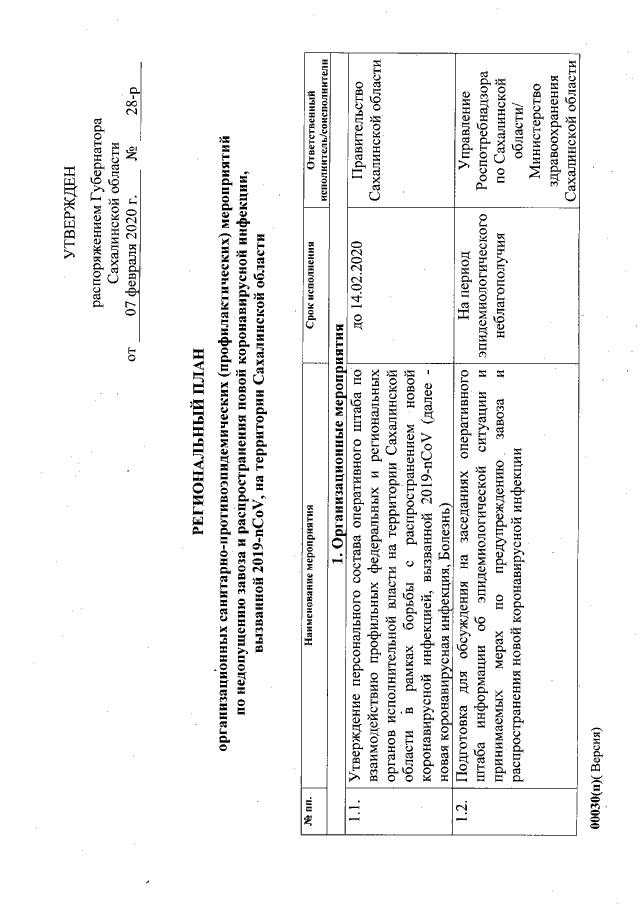
Распоряжение Губернатора Сахалинской области от 07.02.2020 № 28-р
"О мерах по недопущению завоза и распространения новой коронавирусной инфекции, вызванной 2019-nCoV, на территории Сахалинской области"
Номер опубликования: 6500202002130003
Дата опубликования: 13.02.2020
Страница №2 из 12:
Увеличить