Официальное опубликование правовых актов
ОФИЦИАЛЬНОЕ ОПУБЛИКОВАНИЕ
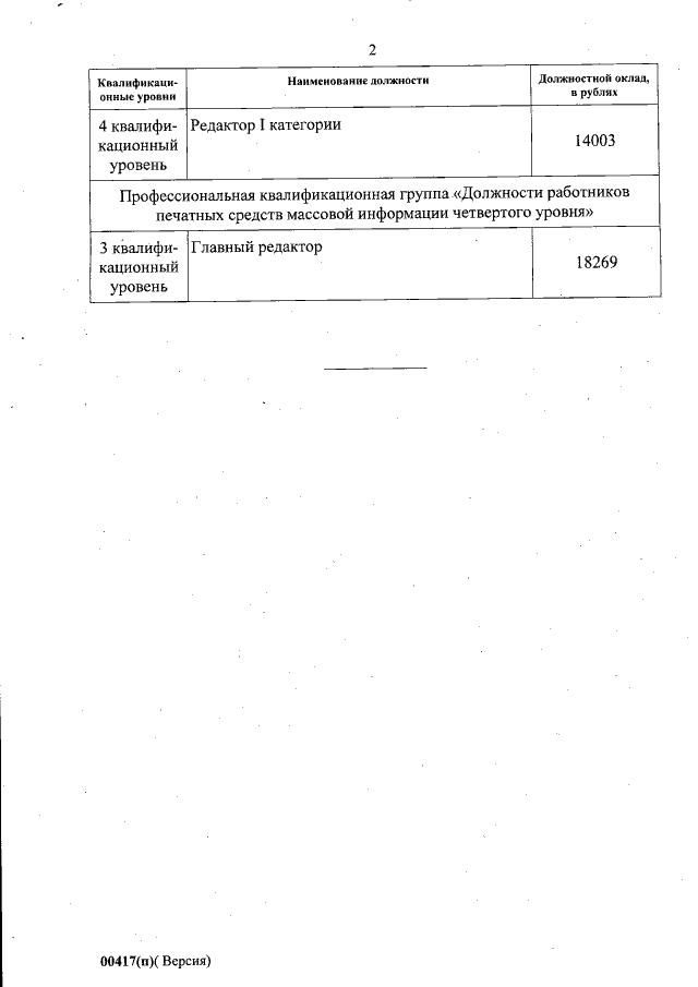
Постановление Правительства Сахалинской области от 21.01.2020 № 23
"О системе оплаты труда работников государственного учреждения, подведомственного Правительству Сахалинской области и осуществляющего деятельность в сфере связи и средств массовой информации"
Номер опубликования: 6500202001240002
Дата опубликования: 24.01.2020
Страница №25 из 31:
Увеличить