Официальное опубликование правовых актов
ОФИЦИАЛЬНОЕ ОПУБЛИКОВАНИЕ
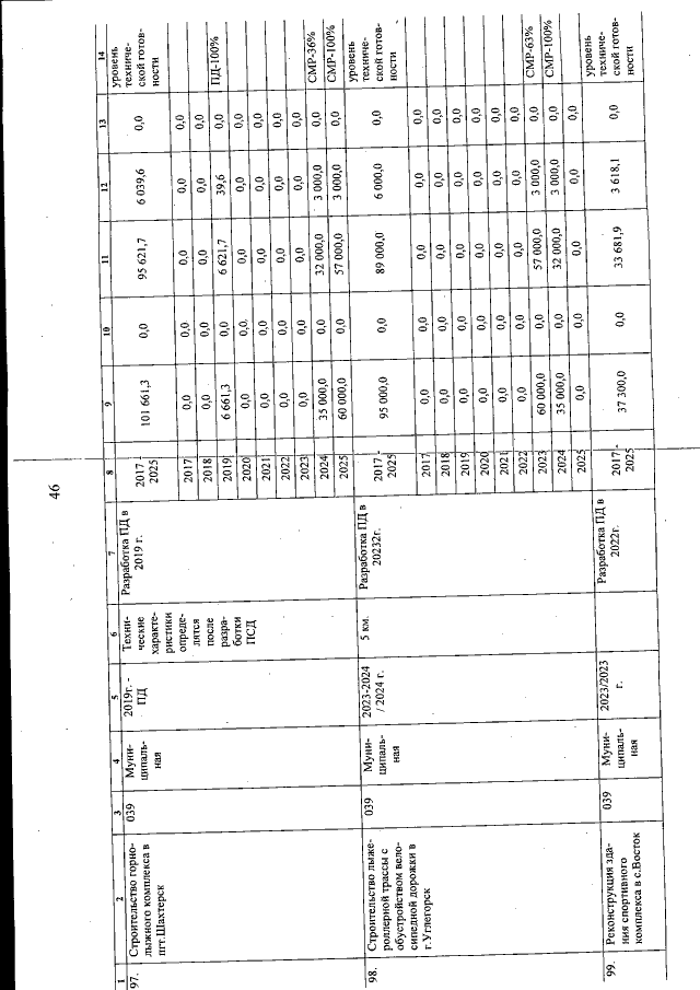
Постановление Правительства Сахалинской области от 28.12.2019 № 658
"О внесении изменений в государственную программу Сахалинской области "Развитие физической культуры, спорта и повышение эффективности молодежной политики в Сахалинской области"
Номер опубликования: 6500202001040010
Дата опубликования: 04.01.2020
Страница №91 из 151:
Увеличить