Официальное опубликование правовых актов
ОФИЦИАЛЬНОЕ ОПУБЛИКОВАНИЕ
Постановление Правительства Сахалинской области от 30.12.2019 № 667
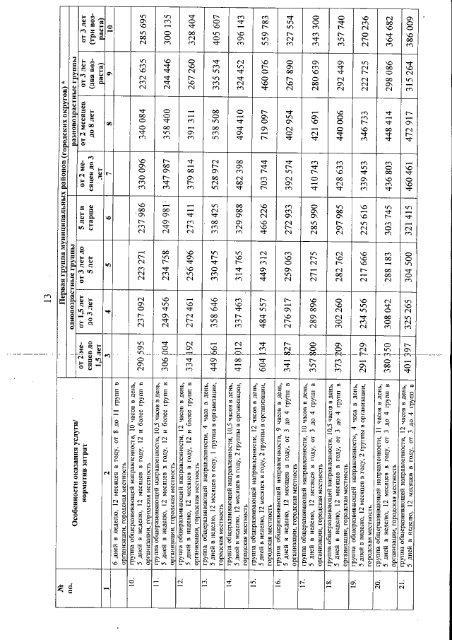
"О внесении изменений в постановление Правительства Сахалинской области от 14.02.2019 № 57 "Об утверждении нормативов финансового обеспечения государственных гарантий реализации прав на получение общедоступного и бесплатного дошкольного, начального общего, основного общего, среднего общего образования в муниципальных общеобразовательных организациях, обеспечения дополнительного образования детей в муниципальных общеобразовательных организациях и нормативов финансового обеспечения государственных гарантий реализации прав на получение общедоступного и бесплатного дошкольного образования в муниципальных дошкольных образовательных организациях Сахалинской области на 2019 год и на плановый период 2020 и 2021 годов"
Номер опубликования: 6500202001040009
Дата опубликования: 04.01.2020
Страница №46 из 63:
Увеличить