Официальное опубликование правовых актов
ОФИЦИАЛЬНОЕ ОПУБЛИКОВАНИЕ
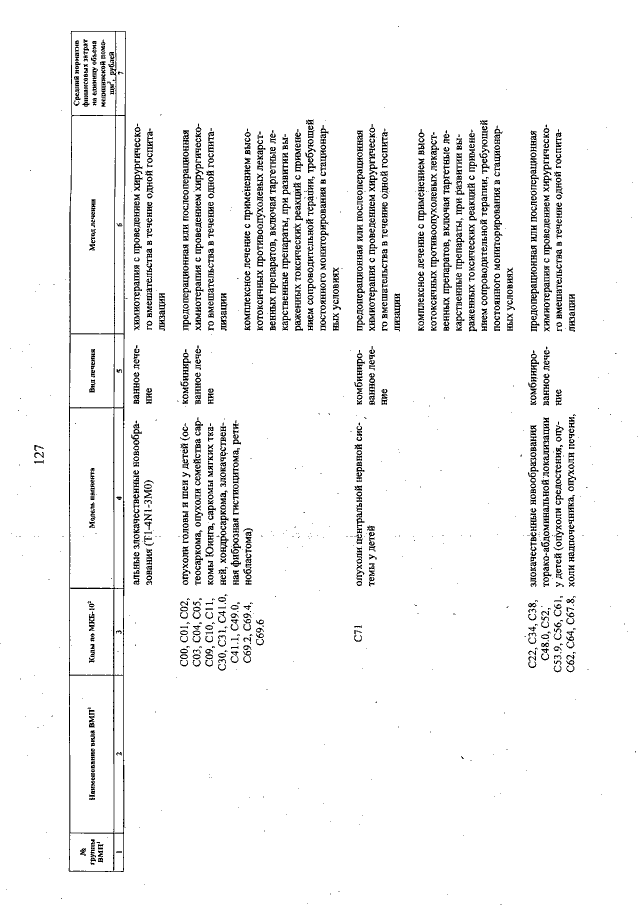
Постановление Правительства Сахалинской области от 28.12.2019 № 662
"Об утверждении Территориальной программы Сахалинской области государственных гарантий бесплатного оказания гражданам медицинской помощи на 2020 год и на плановый период 2021 и 2022 годов"
Номер опубликования: 6500202001040007
Дата опубликования: 04.01.2020
Страница №435 из 510:
Увеличить