Официальное опубликование правовых актов
ОФИЦИАЛЬНОЕ ОПУБЛИКОВАНИЕ
Постановление Правительства Сахалинской области от 30.09.2019 № 447
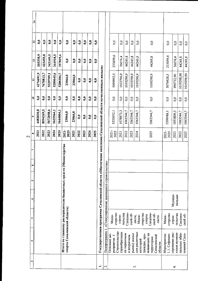
"О внесении изменений в постановление Правительства Сахалинской области от 06.08.2013 № 428 "Об утверждении государственной программы Сахалинской области "Обеспечение населения Сахалинской области качественным жильем"
Номер опубликования: 6500201910040004
Дата опубликования: 04.10.2019
Страница №115 из 254:
Увеличить