Официальное опубликование правовых актов
ОФИЦИАЛЬНОЕ ОПУБЛИКОВАНИЕ
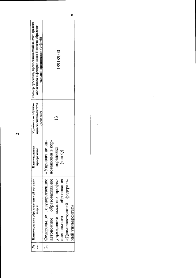
Постановление Правительства Сахалинской области от 09.09.2019 № 409
"О внесении изменений в некоторые нормативные правовые акты Правительства Сахалинской области"
Номер опубликования: 6500201909110001
Дата опубликования: 11.09.2019
Страница №5 из 15:
Увеличить