Официальное опубликование правовых актов
ОФИЦИАЛЬНОЕ ОПУБЛИКОВАНИЕ
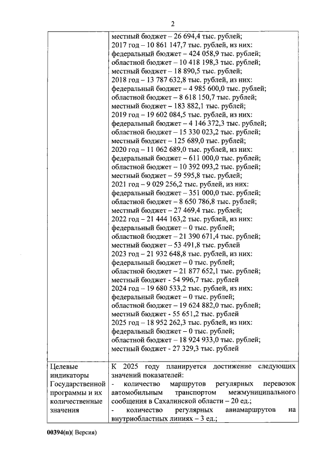
Постановление Правительства Сахалинской области от 06.08.2019 № 337
"О внесении изменений в Государственную программу Сахалинской области "Развитие транспортной инфраструктуры и дорожного хозяйства Сахалинской области"
Номер опубликования: 6500201908120008
Дата опубликования: 12.08.2019
Страница №4 из 184:
Увеличить