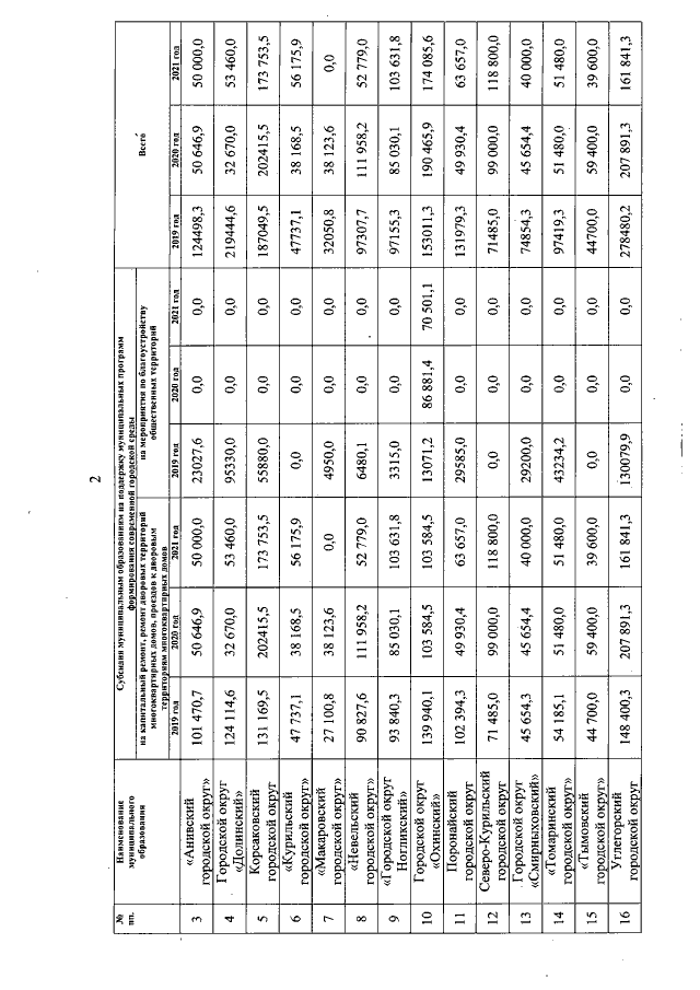
Постановление Правительства Сахалинской области от 06.08.2019 № 334
"О внесении изменений в распределение субсидии из областного бюджета бюджетам муниципальных образований Сахалинской области на софинансирование расходных обязательств муниципальных образований Сахалинской области на поддержку муниципальных программ формирования современной городской среды на 2019 год, утвержденное постановлением Правительства Сахалинской области от 01.02.2019 № 47"
"О внесении изменений в распределение субсидии из областного бюджета бюджетам муниципальных образований Сахалинской области на софинансирование расходных обязательств муниципальных образований Сахалинской области на поддержку муниципальных программ формирования современной городской среды на 2019 год, утвержденное постановлением Правительства Сахалинской области от 01.02.2019 № 47"
Номер опубликования: 6500201908120007
Дата опубликования:
12.08.2019
