Официальное опубликование правовых актов
ОФИЦИАЛЬНОЕ ОПУБЛИКОВАНИЕ
Постановление Правительства Сахалинской области от 23.05.2019 № 215
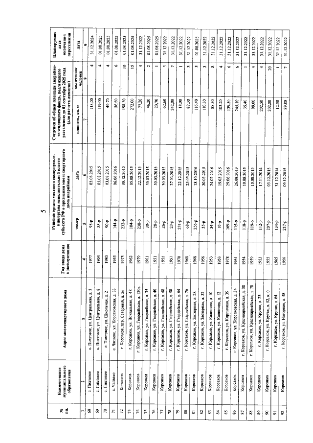
"О внесении изменений в постановление Правительства Сахалинской области от 29.03.2019 № 133 "Об утверждении региональной адресной программы "Переселение граждан из аварийного жилищного фонда на территории Сахалинской области в 2019 - 2025 годах"
Номер опубликования: 6500201905240005
Дата опубликования: 24.05.2019
Страница №11 из 32:
Увеличить