Официальное опубликование правовых актов
ОФИЦИАЛЬНОЕ ОПУБЛИКОВАНИЕ
Постановление Правительства Сахалинской области от 14.02.2019 № 57
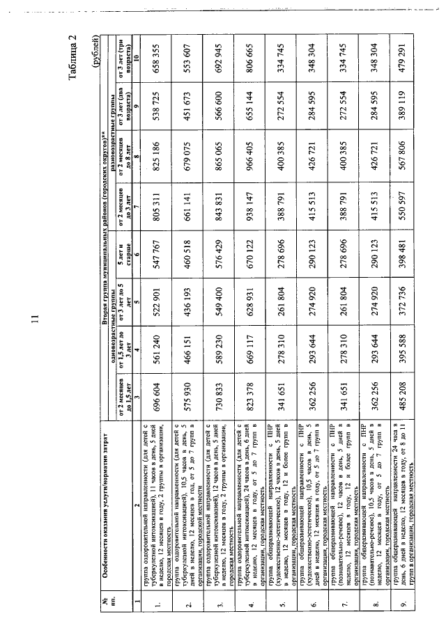
"Об утверждении нормативов финансового обеспечения государственных гарантий реализации прав на получение общедоступного и бесплатного дошкольного, начального общего, основного общего, среднего общего образования в муниципальных общеобразовательных организациях, обеспечения дополнительного образования детей в муниципальных общеобразовательных организациях и нормативов финансового обеспечения государственных гарантий реализации прав на получение общедоступного и бесплатного дошкольного образования в муниципальных дошкольных образовательных организациях Сахалинской области на 2019 год и на плановый период 2020 и 2021 годов"
Номер опубликования: 6500201902180001
Дата опубликования: 18.02.2019
Страница №165 из 183:
Увеличить