Постановление Правительства Сахалинской области от 20.08.2018 № 413
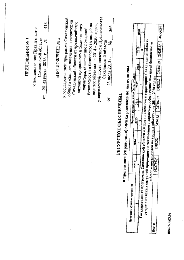
"О внесении изменений в государственную программу Сахалинской области "Защита населения и территории Сахалинской области от чрезвычайных ситуаций природного и техногенного характера, обеспечение пожарной безопасности и безопасности людей на водных объектах на 2014 - 2020 годы", утвержденную постановлением Правительства Сахалинской области от 23.07.2013 № 366"
"О внесении изменений в государственную программу Сахалинской области "Защита населения и территории Сахалинской области от чрезвычайных ситуаций природного и техногенного характера, обеспечение пожарной безопасности и безопасности людей на водных объектах на 2014 - 2020 годы", утвержденную постановлением Правительства Сахалинской области от 23.07.2013 № 366"
Номер опубликования: 6500201808220001
Дата опубликования:
22.08.2018
