Официальное опубликование правовых актов
ОФИЦИАЛЬНОЕ ОПУБЛИКОВАНИЕ
Распоряжение Правительства Сахалинской области от 05.10.2017 № 571-р
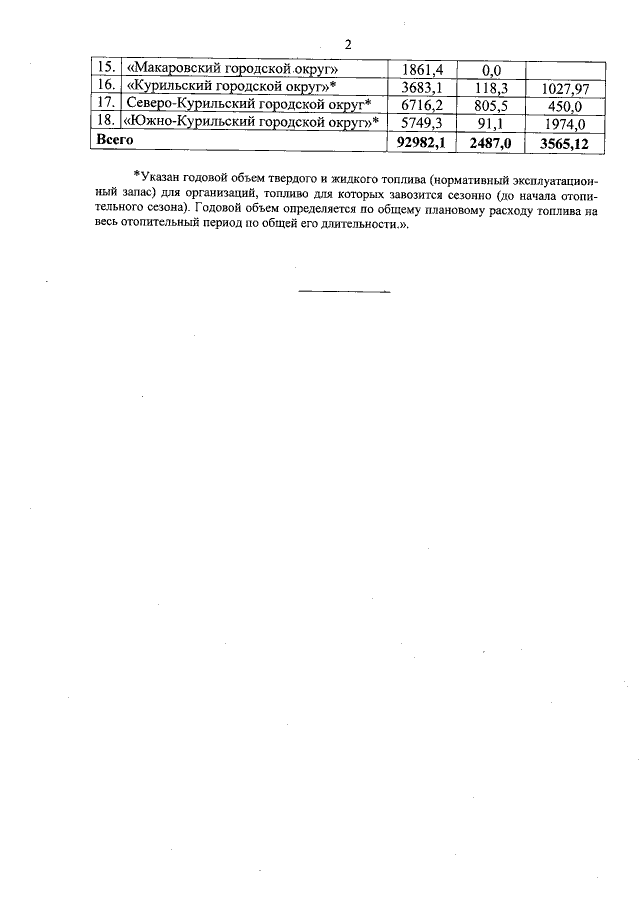
"О внесении изменений в распоряжение Правительства Сахалинской области от 19.05.2017 № 274-р "О подготовке основных систем жизнеобеспечения Сахалинской области к осенне-зимнему периоду 2017/18 года"
Номер опубликования: 6500201710090002
Дата опубликования: 09.10.2017
Страница №4 из 4:
Увеличить