Официальное опубликование правовых актов
ОФИЦИАЛЬНОЕ ОПУБЛИКОВАНИЕ
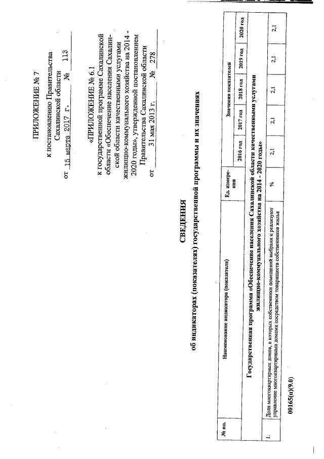
Постановление Правительства Сахалинской области от 15.03.2017 № 113
"О внесении изменений в государственную программу Сахалинской области "Обеспечение населения Сахалинской области качественными услугами жилищно-коммунального хозяйства на 2014 - 2020 годы", утвержденную постановлением Правительства Сахалинской области от 31.05.2013 № 278"
Номер опубликования: 6500201703210001
Дата опубликования: 21.03.2017
Страница №108 из 280:
Увеличить