Официальное опубликование правовых актов
ОФИЦИАЛЬНОЕ ОПУБЛИКОВАНИЕ
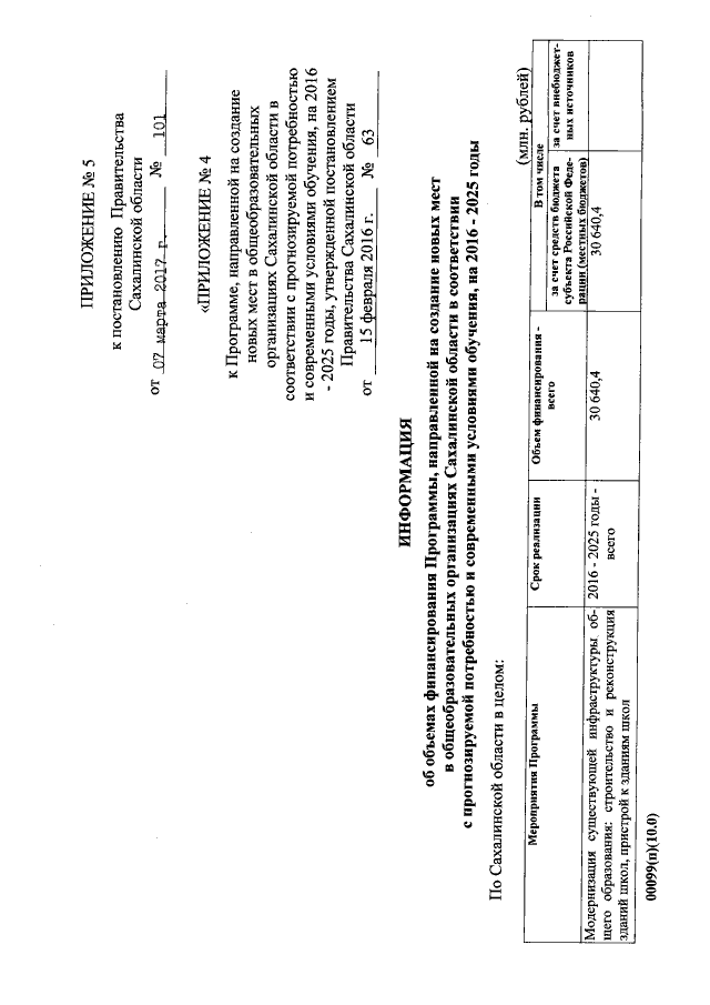
Постановление Правительства Сахалинской области от 07.03.2017 № 101
"О внесении изменений в Программу, направленную на создание новых мест в общеобразовательных организациях Сахалинской области в соответствии с прогнозируемой потребностью и современными условиями обучения, на 2016 - 2025 годы, утвержденную постановлением Правительства Сахалинской области от 15.02.2016 № 63"
Номер опубликования: 6500201703140001
Дата опубликования: 14.03.2017
Страница №19 из 21:
Увеличить