Официальное опубликование правовых актов
ОФИЦИАЛЬНОЕ ОПУБЛИКОВАНИЕ
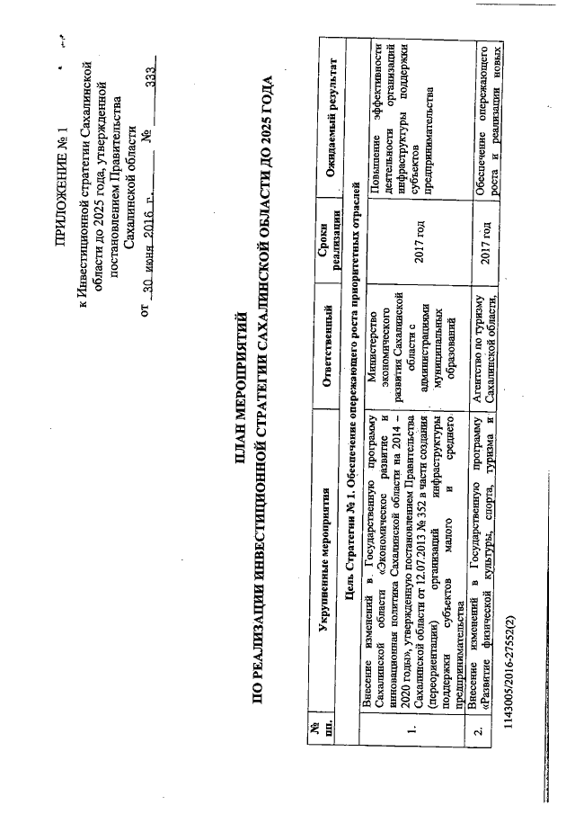
Постановление Правительства Сахалинской области от 30.06.2016 № 333
"Об утверждении Инвестиционной стратегии Сахалинской области до 2025 года"
Номер опубликования: 6500201607060003
Дата опубликования: 06.07.2016
Страница №94 из 106:
Увеличить