Официальное опубликование правовых актов
ОФИЦИАЛЬНОЕ ОПУБЛИКОВАНИЕ
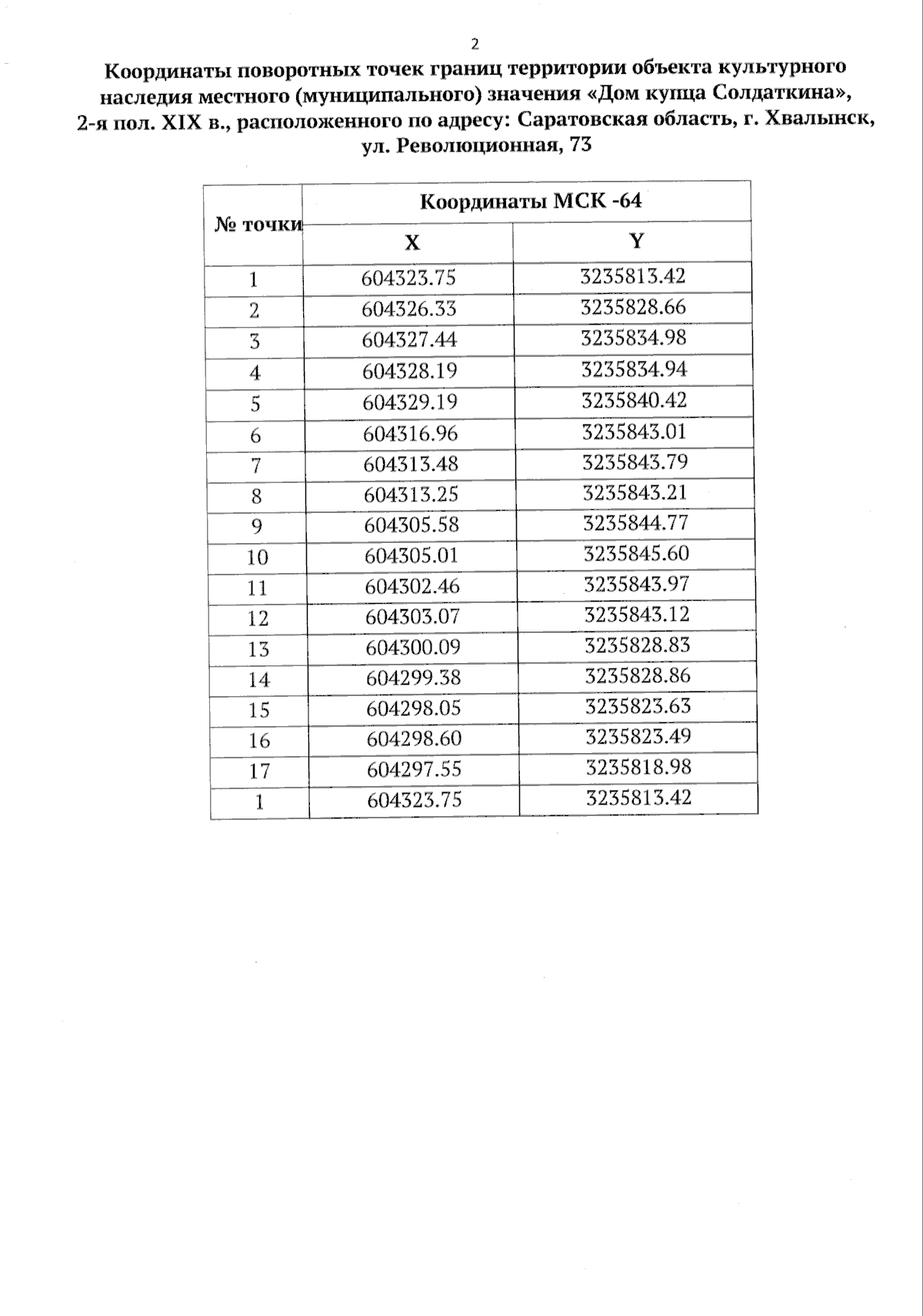
Приказ Комитета культурного наследия Саратовской области от 02.06.2025 № 01-04/185
"О включении выявленного объекта культурного наследия по адресу: Саратовская область, г. Хвалынск, ул. Революционная, д. 110, в единый государственный реестр объектов культурного наследия (памятников истории и культуры) народов Российской Федерации в категории объекта культурного наследия местного (муниципального) значения, утверждении границ территории, требований к осуществлению деятельности в границах территории объекта культурного наследия и предмета охраны"
(Зарегистрирован 02.06.2025 № 25-2025-1-888)
Номер опубликования: 6401202506100007
Дата опубликования: 10.06.2025
Страница №4 из 8:
Увеличить