Официальное опубликование правовых актов
ОФИЦИАЛЬНОЕ ОПУБЛИКОВАНИЕ
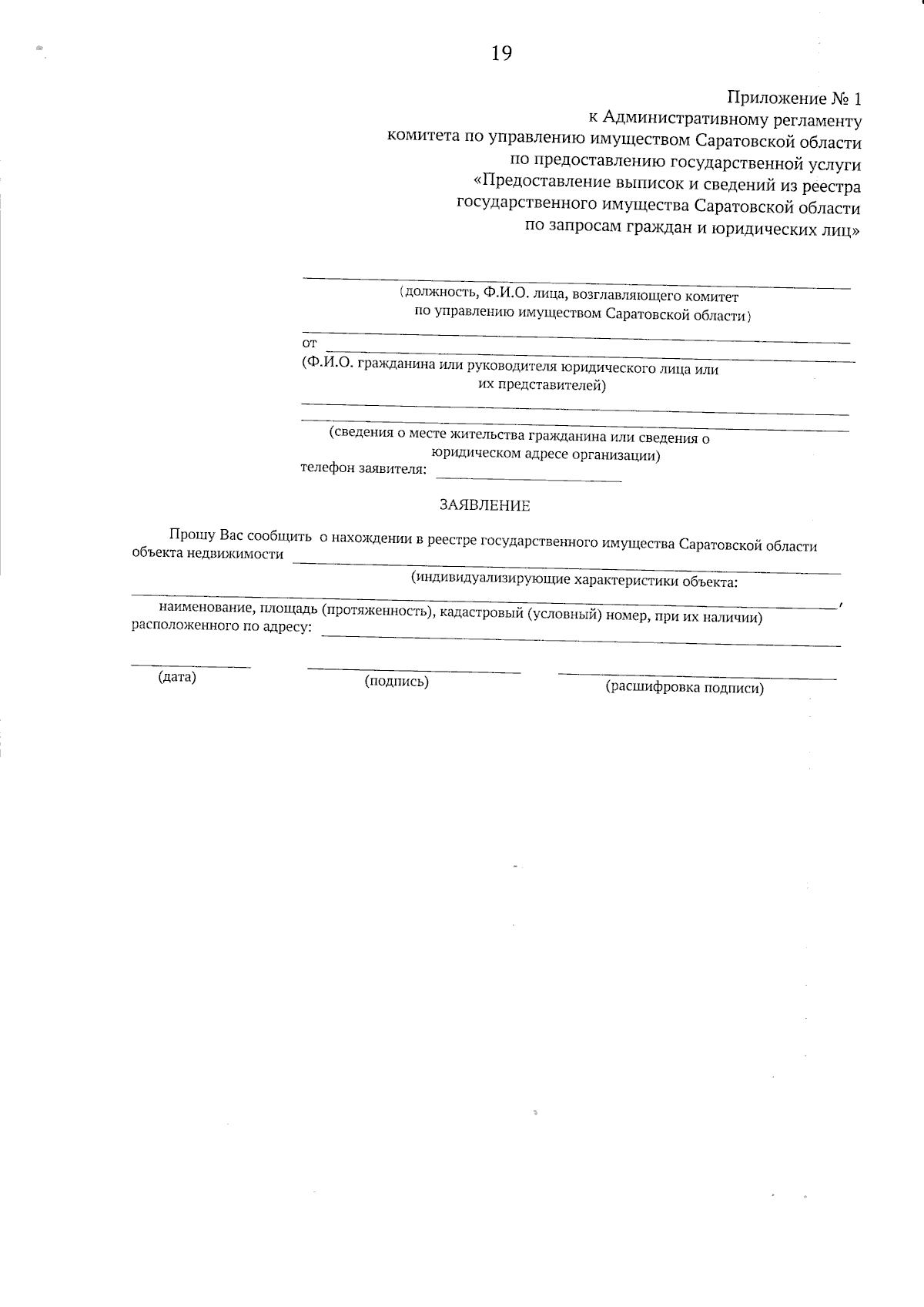
Приказ Комитета по управлению имуществом Саратовской области от 06.05.2025 № 105-к
"О внесении изменения в приказ комитета по управлению имуществом Саратовской области от 18 июня 2008 года № 164к"
(Зарегистрирован 06.05.2025 № 23-2025-1-748)
Номер опубликования: 6401202505140003
Дата опубликования: 14.05.2025
Страница №19 из 20:
Увеличить