Официальное опубликование правовых актов
ОФИЦИАЛЬНОЕ ОПУБЛИКОВАНИЕ
Приказ Министерства природных ресурсов и экологии Саратовской области от 16.04.2025 № 170
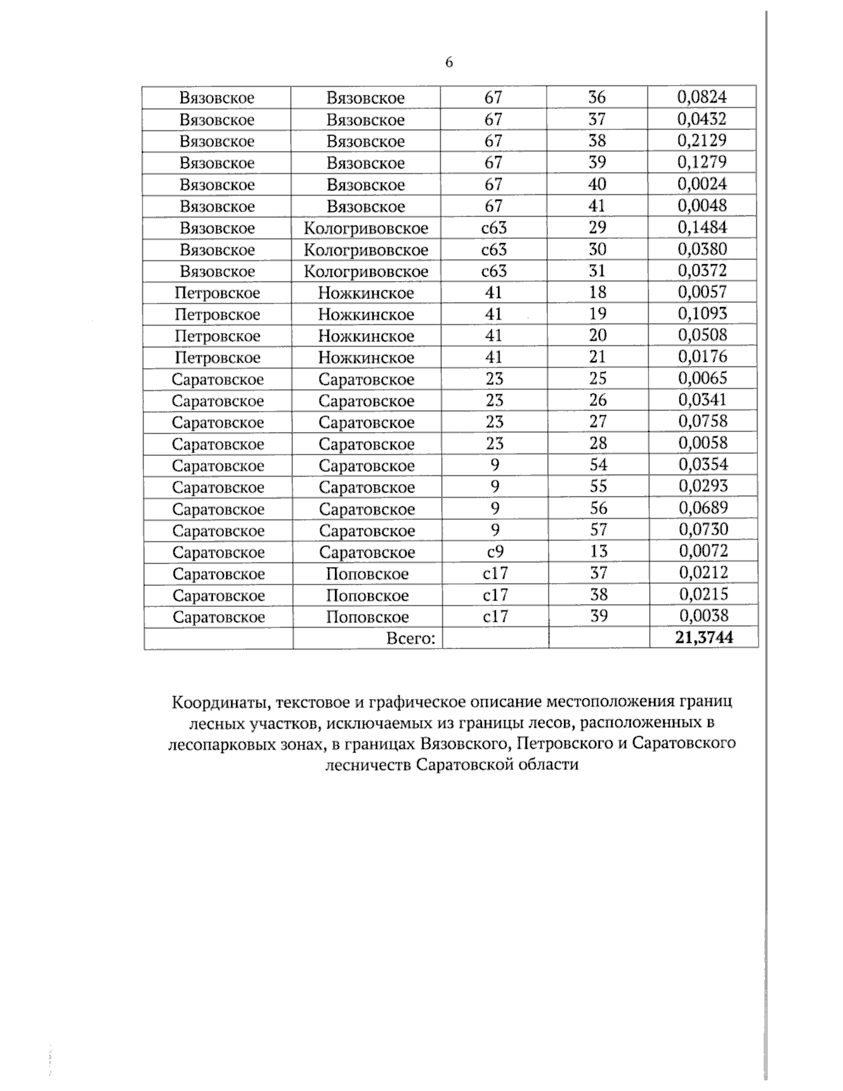
"Об утверждении проектной документации по изменению границ земель, на которых расположены леса, выполняющие функции защиты природных и иных объектов (леса, расположенные в лесопарковых зонах), на территории Вязовского, Петровского и Саратовского лесничеств Саратовской области"
(Зарегистрирован 16.04.2025 № 13‑2025‑1‑663)
Номер опубликования: 6401202504250002
Дата опубликования: 25.04.2025
Страница №6 из 145:
Увеличить