Официальное опубликование правовых актов
ОФИЦИАЛЬНОЕ ОПУБЛИКОВАНИЕ
Приказ Комитета культурного наследия Саратовской области от 04.04.2025 № 01-04/125
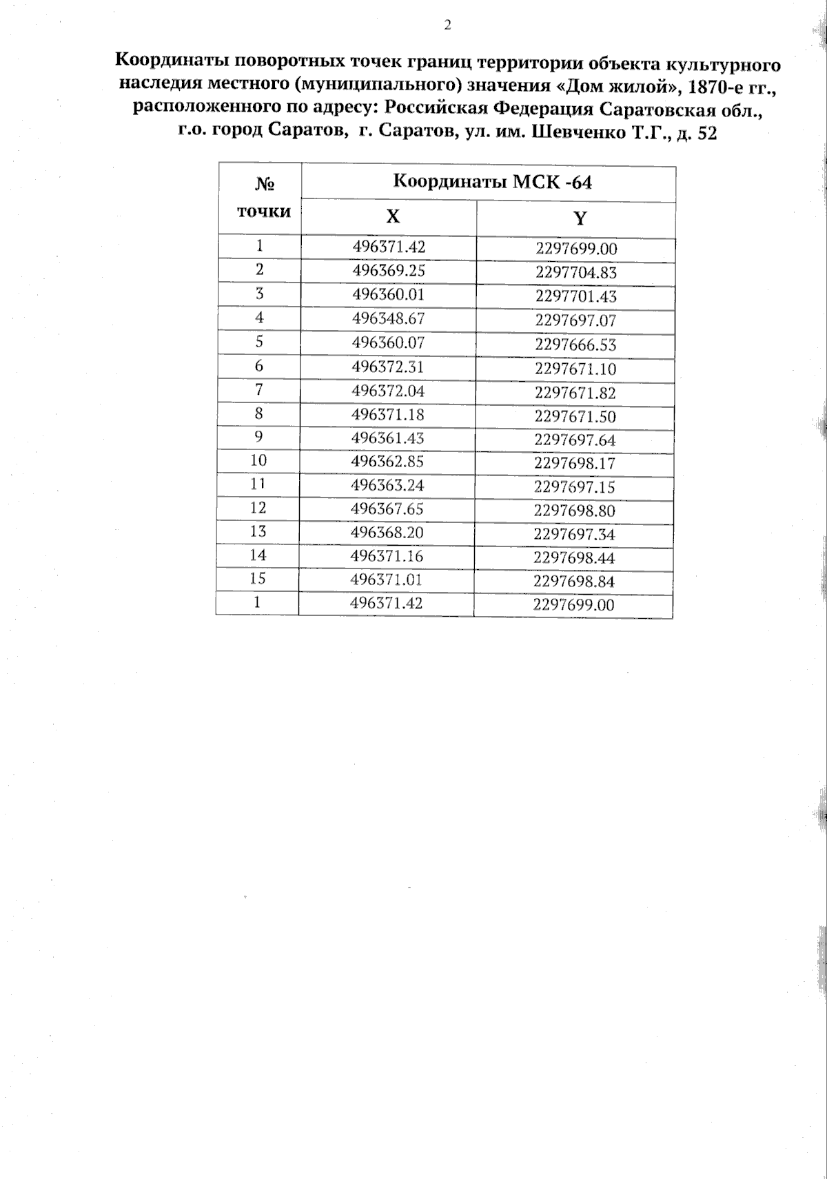
"О включении выявленного объекта культурного наследия по адресу: Саратовская область, г. Саратов, ул. Шевченко, 52, в единый государственный реестр объектов культурного наследия (памятников истории и культуры) народов Российской Федерации в категории объекта культурного наследия местного (муниципального) значения, утверждении границ территории, требований к осуществлению деятельности в границах территории объекта культурного наследия и предмета охраны"
(Зарегистрирован 07.04.2025 № 25-2025-1-592)
Номер опубликования: 6401202504160013
Дата опубликования: 16.04.2025
Страница №4 из 7:
Увеличить