Официальное опубликование правовых актов
ОФИЦИАЛЬНОЕ ОПУБЛИКОВАНИЕ
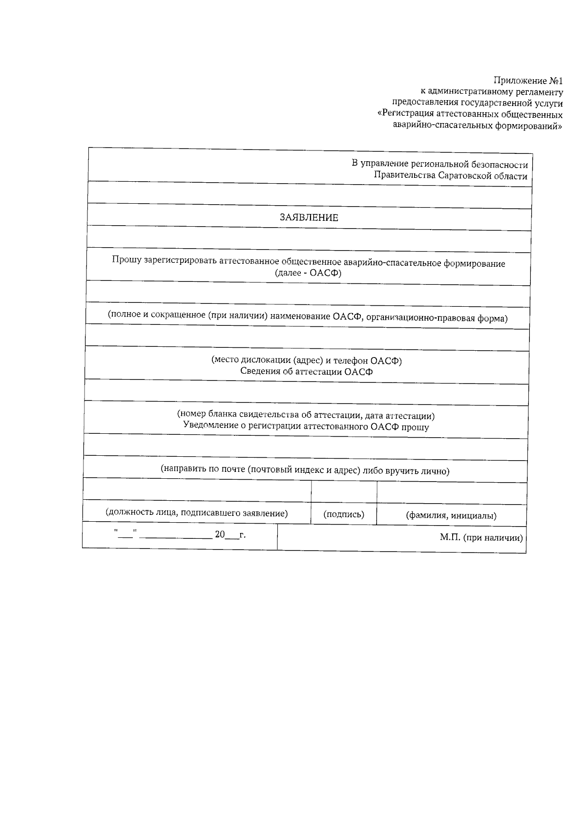
Приказ Управления региональной безопасности Правительства Саратовской области от 17.01.2025 № 5
"Об утверждении административного регламента управления региональной безопасности Правительства Саратовской области по предоставлению государственной услуги "Регистрация аттестованных общественных аварийно-спасательных формирований"
(Зарегистрирован 21.01.2025 № 30-2025-1-92)
Номер опубликования: 6401202501290009
Дата опубликования: 29.01.2025
Страница №26 из 32:
Увеличить