Официальное опубликование правовых актов
ОФИЦИАЛЬНОЕ ОПУБЛИКОВАНИЕ
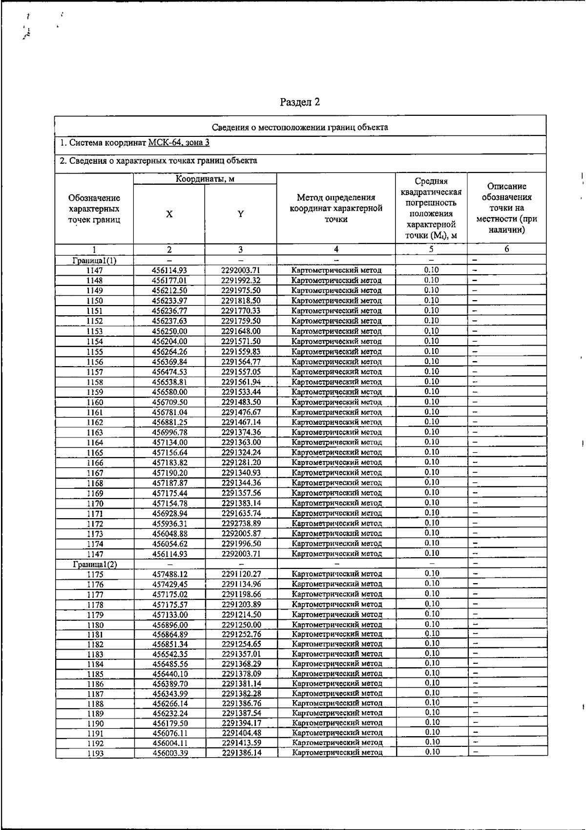
Приказ Министерства строительства и жилищно-коммунального хозяйства Саратовской области от 09.07.2024 № 302
"О внесении изменений в решение Собрания депутатов Энгельсского муниципального района от 25 апреля 2013 года № 447/47–04 "Об утверждении Генерального плана Терновского муниципального образования Энгельсского муниципального района Саратовской области"
(Зарегистрирован 10.07.2024 № 07-2024-1-1025)
Номер опубликования: 6401202407170002
Дата опубликования: 17.07.2024
Страница №22 из 27:
Увеличить