Официальное опубликование правовых актов
ОФИЦИАЛЬНОЕ ОПУБЛИКОВАНИЕ
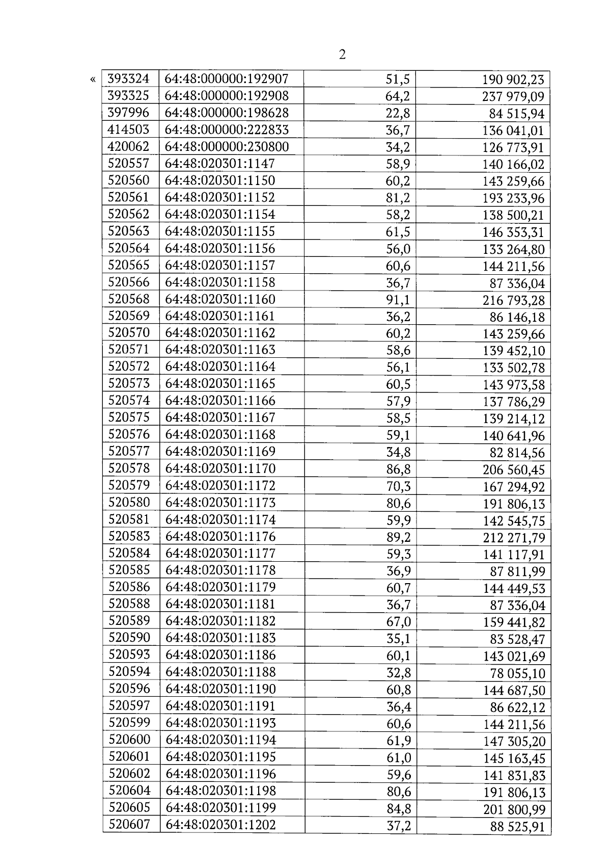
Распоряжение Комитета по управлению имуществом Саратовской области от 17.01.2024 № 34-р
"О внесении изменений в распоряжение комитета по управлению имуществом Саратовской области от 16 ноября 2020 года № 1110-р"
(Зарегистрирован 18.01.2024 № 23-2024-3-41)
Номер опубликования: 6401202401250002
Дата опубликования: 25.01.2024
Страница №2 из 4:
Увеличить